Примечание.
Для доступа к этой странице требуется авторизация. Вы можете попробовать войти или изменить каталоги.
Для доступа к этой странице требуется авторизация. Вы можете попробовать изменить каталоги.
Область применения: SQL Server 2016 (13.x) и более поздних версий
Эта часть 6 входит в состав серии учебников по RevoScaleR, посвященной использованию функций RevoScaleR в SQL Server.
В этом учебнике вы примените функции R для просмотра распределения значений по полу в столбце creditLine.
- Создание переменных с минимальными и максимальными значениями для входных данных гистограммы
- Визуализация данных на гистограмме с помощью функции rxHistogram из пакета RevoScaleR
- Визуализация данных на точечных диаграммах с помощью функции levelplot из пакета lattice, входящего в состав базового дистрибутива R
Как показано в этом учебнике, в одном скрипте можно сочетать функции с открытым кодом и функции корпорации Майкрософт.
Добавление максимального и минимального значений
Изучив сводные статистические данные из предыдущего учебника, вы получили полезную информацию о данных, которые можно добавить в источник данных для последующих вычислений. Например, минимальное и максимальное значения можно использовать для построения гистограмм. В этом упражнении вы добавите максимальное и минимальное значения в источник данных RxSqlServerData.
Сначала создайте ряд временных переменных.
sumDF <- sumOut$sDataFrame var <- sumDF$NameИспользуйте созданную в предыдущем учебнике переменную ccColInfo для определения столбцов в источнике данных.
Добавьте новые вычисляемые столбцы (numTrans, numIntlTrans и creditLine) в коллекцию столбцов, переопределяющую исходное определение. Приведенный ниже скрипт добавляет коэффициенты на основе минимального и максимального значений, полученных из переменной sumOut, предназначенной для сохранения в памяти выходных данных из rxSummary.
ccColInfo <- list( gender = list(type = "factor", levels = c("1", "2"), newLevels = c("Male", "Female")), cardholder = list(type = "factor", levels = c("1", "2"), newLevels = c("Principal", "Secondary")), state = list(type = "factor", levels = as.character(1:51), newLevels = stateAbb), balance = list(type = "numeric"), numTrans = list(type = "factor", levels = as.character(sumDF[var == "numTrans", "Min"]:sumDF[var == "numTrans", "Max"])), numIntlTrans = list(type = "factor", levels = as.character(sumDF[var == "numIntlTrans", "Min"]:sumDF[var =="numIntlTrans", "Max"])), creditLine = list(type = "numeric") )Обновив коллекцию столбцов, примените следующую инструкцию для создания обновленной версии источника данных SQL Server, определенного ранее.
sqlFraudDS <- RxSqlServerData( connectionString = sqlConnString, table = sqlFraudTable, colInfo = ccColInfo, rowsPerRead = sqlRowsPerRead)Теперь источник данных sqlFraudDS содержит новые столбцы, добавленные с помощью ccColInfo.
На данный момент эти изменения касаются только объекта источника данных в среде R; в таблицу базы данных новые данные еще не записаны. Однако данные, записанные в переменную sumOut, можно использовать для создания визуализаций и сводок.
Совет
Если вы не помните, какой контекст вычисления используете, выполните rxGetComputeContext(). Возвращаемое значение "RxLocalSeq Compute Context" указывает, что вы работаете в локальном контексте вычисления.
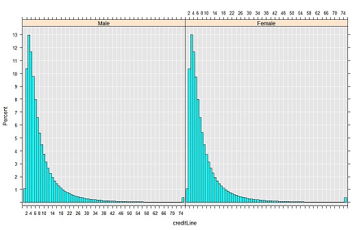
Визуализация данных с помощью функций rxHistogram
Используйте следующий код R, чтобы вызвать функцию rxHistogram и передать формулу и источник данных. Сначала эту операцию можно выполнить локально, чтобы оценить результаты и продолжительность.
rxHistogram(~creditLine|gender, data = sqlFraudDS, histType = "Percent")Сама по себе функция rxHistogram вызывает функцию rxCube , которая включена в пакет RevoScaleR . Функция rxCube выводит единый список (или кадр данных), который содержит по одному столбцу для каждой переменной, указанной в формуле, а также столбец counts.
Теперь задайте в качестве контекста вычисления удаленный компьютер SQL Server и выполните rxHistogram еще раз.
rxSetComputeContext(sqlCompute) rxHistogram(~creditLine|gender, data = sqlFraudDS, histType = "Percent")Результаты будут такими же, так как вы используете тот же источник данных. Однако на втором шаге вычисления выполняются на удаленном сервере. Затем результаты возвращаются на локальную рабочую станцию для построения графика.

Визуализация с помощью точечных диаграмм
Точечные диаграммы часто используются при исследовании данных для представления взаимосвязи между двумя переменными. Для этой цели можно использовать встроенные пакеты R с входными данными, предоставляемыми функциями RevoScaleR.
Вызовите функцию rxCube для вычисления среднего значения fraudRisk для каждого сочетания значений numTrans и numIntlTrans:
cube1 <- rxCube(fraudRisk~F(numTrans):F(numIntlTrans), data = sqlFraudDS)Чтобы указать группы, используемые для вычисления средних значений по группам, используйте нотацию
F(). В этом примереF(numTrans):F(numIntlTrans)указывает на то, что целочисленные значения переменныхnumTransиnumIntlTransдолжны обрабатываться как категориальные переменные (каждое целочисленное значение имеет свой уровень).Возвращаемое значение rxCube по умолчанию является объектом rxCube, представляющим перекрестное табулирование.
Вызовите функцию rxResultsDF, чтобы преобразовать результаты в кадр данных, который можно легко использовать в одной из стандартных функций формирования диаграмм языка R.
cubePlot <- rxResultsDF(cube1)Функция rxCube имеет необязательный аргумент (returnDataFrame = TRUE), который можно использовать для преобразования результатов непосредственно в кадр данных. Например:
print(rxCube(fraudRisk~F(numTrans):F(numIntlTrans), data = sqlFraudDS, returnDataFrame = TRUE))Однако выходные данные функции rxResultsDF более понятны, и в них сохраняются имена исходных столбцов. Вы можете выполнить
head(cube1), а затемhead(cubePlot), чтобы сравнить выходные данные.Создайте тепловую карту с помощью функции levelplot из пакета lattice, который входит в состав всех дистрибутивов R.
levelplot(fraudRisk~numTrans*numIntlTrans, data = cubePlot)Результаты

Выполнив такой быстрый анализ, можно заметить, что риск мошенничества растет с увеличением числа как обычных, так и международных транзакций.
Дополнительные сведения о функции rxCube и перекрестных таблицах в целом см. в статье Сведение данных с помощью RevoScaleR.