Planning for Certificates
Topic Last Modified: 2010-11-08
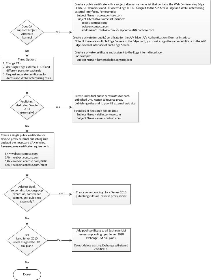
Certificate creation for Edge is simplified in Microsoft Lync Server 2010.
Certificates Flow Chart
.jpg)
Create a single public certificate and assign it to following Edge Server external interfaces using the certificate wizard:
Access Edge (referred to as SIP Access Edge External in the certificate wizard)
Web Conferencing Edge (referred to as Web Conferencing Edge External in the certificate wizard)
A/V Authentication Service (referred to as A/V Edge External in the certificate wizard)
Create a single internal certificate and assign it to following Edge Server internal interfaces:
- Edge Server (referred to as Edge Internal in the certificate wizard)
For details about certificate requirements, see Changes in Lync Server 2010 that Affect Planning.