Note
Access to this page requires authorization. You can try signing in or changing directories.
Access to this page requires authorization. You can try changing directories.
The latest version of this topic can be found at erf, erff, erfl, erfc, erfcf, erfcl.
Computes the error function or the complementary error function of a value.
Syntax
double erf(
double x
);
float erf(
float x
); // C++ only
long double erf(
long double x
); // C++ only
float erff(
float x
);
long double erfl(
long double x
);
double erfc(
double x
);
float erfc(
float x
); // C++ only
long double erfc(
long double x
); // C++ only
float erfcf(
float x
);
long double erfcl(
long double x
);
Parameters
x
A floating-point value.
Return Value
The erf functions return the Gauss error function of x. The erfc functions return the complementary Gauss error function of x.
Remarks
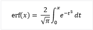
The erf functions calculate the Gauss error function of x, which is defined as:
.jpeg)
The complementary Gauss error function is defined as 1 – erf(x). The erf functions return a value in the range -1.0 to 1.0. There is no error return. The erfc functions return a value in the range 0 to 2. If x is too large for erfc, the errno variable is set to ERANGE.
Because C++ allows overloading, you can call overloads of erf and erfc that take and return float and long double types. In a C program, erf and erfc always take and return a double.
Requirements
| Function | Required header |
|---|---|
erf, erff, erfl, erfc, erfcf, erfcl |
<math.h> |
For additional compatibility information, see Compatibility.
.NET Framework Equivalent
Not applicable. To call the standard C function, use PInvoke. For more information, see Platform Invoke Examples.