Note
Access to this page requires authorization. You can try signing in or changing directories.
Access to this page requires authorization. You can try changing directories.
Applies to: ✅ Microsoft Fabric ✅ Azure Data Explorer ✅ Azure Monitor ✅ Microsoft Sentinel
Calculates the population covariance of two random variables expr1 and expr2.
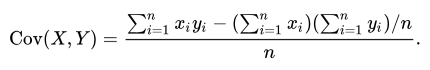
The following formula is used:
Note
This function is used in conjunction with the summarize operator.
Syntax
covariancep(expr1 , expr2 )
Learn more about syntax conventions.
Parameters
| Name | Type | Required | Description |
|---|---|---|---|
| expr1 | real |
✔️ | First random variable expression. |
| expr2 | real |
✔️ | Second random variable expression. |
Returns
Returns the covariance value of expr1 and expr2.
Examples
The example in this section shows how to use the syntax to help you get started.
datatable(x:real, y:real) [
1.0, 14.0,
2.0, 10.0,
3.0, 17.0,
4.0, 20.0,
5.0, 50.0,
]
| summarize covariancep(x, y)
Output
| covariancep_x_y |
|---|
| 16.4 |